کاربرد انتگرال؛ ریاضی عمومی 1؛ محاسبه مساحت و حجم با مهندس زوارقی
- ریاضی عمومی 1
- نرگس دارابی
- 2 دقیقه
سلام بر همه شما دوستان گلم امیدوارم حال دلتون عالی باشه. در ادامه ی مباحث انتگرال و با فرض بر اینکه شما کل این مطلب را یاد گرفتید و تمرینات مربوط را انجام دادید، و بنا به درخواست بسیاری از عزیزان مبنی بر محاسبه ی سطح محصورها، توی این آموزش تصمیم گرفتم این فصل را براتون توضیح بدم. پس در ادامه ی این آموزش هم همراه من باشید.
قبل از شروع حتما لینک کانال یوتیوب من را توی این لینک برای دیدن ویدئوی آموزشی این جلسه حتما ذخیره کنید. در ضمن در کنار آموزشهای ویدئویی داشتن جزوه تایپ شده و مرتب هم در آموزش کامل این مطلب بسیار کمک کننده خواهد بود، که میتونید از این آدرس جزوه این جلسه و تهیه کنید.
آماده اید بریم برای شروع؟
1) سطح محصور بین منحنی ( y = f(x و محور x ها و دو خط : x = b ,x = a با توجه به نمودار زیر داریم:

2) سطح محصور بین منحنی ( y = f(x و محور x ها و دو خط : x = b ,x = a: اگر منحنب بین a و b، محور x ها را در نقطه ای به طول c قطع کند.

3) سطح محصور بین منحنی ( y = f(x و محور x ها: ابتدا منحنی را با محور xها ( 0= y ) قطع می دهیم تا حدود انتگرال بدست آید و سپس انتگرال را محاسبه می کنیم(این در حالتی است که حدود انتگرال را در اختیار نداریم و باید آنرا بدست آوریم). 
4) سطح محصور بین منحنی( y = f(x و محور xها وقتی منحنی، محور xها را در سه نقطه قطع کند:
5) سطح محصور بین دو منحنی y = f(x) و y = g(x) از x =a تا : x = b در این حالت از تفاضل معادلات دو منحنی انتگرال می گیریم و اگر حدود انتگرال داده نشود می توانیم دو منحنی را با هم قطع دهیم. در این حالت طول نقاط برخورد، همان کران بالا و پایین انتگرال است.
در ادامه ی توضیحات داده شد، کلی مثال براتون توی جزوه آوردم که میتونید به آنها مراجعه کنید. حل این مسائل رو هم توی کانال یوتیوب قرار دادم.
ولی در ادامه این پست هم به معرفی چند مثال میپردازیم:
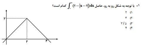
مثال :

مثال :

خب دوستان گلم باز هم ممنونم که این جلسه ما رو همراهی کردید. میدونید که توجه شما به این نوع محتواها به همراه نوشتن کامنت در زیر پستهای این بخش، به ما انگیزه زیادی برای ادامه مسیر خواهد داد. با ما در ارتباط باشید.
این لینک هم برای دریافت محتوای ویدئویی این فصل در اختیارتون هست تا با توضیحات کامل یادگیری مطالب براتون امکان پذیر باشد.
موفق باشید.

