معادله موج در شرایط غیر همگن؛ ریاضیات مهندسی؛ جلسه 21
- ریاضیات مهندسی
- نرگس دارابی
- 1 دقیقه
سلام و عرض ادب خدمت دوستان عزیزم؛ امیدوار حال دلتون عالی باشه. امروز آماده اید با هم یک مبحث دیگه از ریاضیات مهندسی رو مرور کنیم؟ معادله موج در شرایط غیر همگن موضوع مناسبی هست برای بررسی امروز. پس امروز هم ما را همراهی کنید.
با یک مقدمه کوتاه بریم برای شروع:
معادله موج یکی از بنیادیترین معادلات در ریاضیات مهندسی و فیزیک کاربردی است که پدیدههای انتشار مانند صوت، نور، و ارتعاشات مکانیکی را مدلسازی میکند. در بسیاری از کاربردهای واقعی، محیط انتشار کاملاً یکنواخت (همگن) نیست؛ به عبارتی، ویژگیهای محیط مانند چگالی یا کشسانی در نقاط مختلف تغییر میکند. در چنین شرایطی، معادله موج به شکل غیرهمگن ظاهر میشود و تحلیل آن پیچیدهتر اما واقعیتر خواهد بود. در این نوشتار، با نگاهی مقدماتی به معادله موج در شرایط غیرهمگن، مفاهیم کلیدی و روشهای حل آن را بررسی میکنیم.
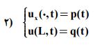
معادله موج در شرایط غیر همگن


![]()
![]()
مثال) جواب خصوصی معادله زیر را حل کنید.
![]()

بریم حل این مساله رو با هم ببینیم:
![]()
موضوع این جلسه را جمع بندی می کنیم. حتما برای دیدن توضیحات کامل به این لینک از وبسایت ما مراجعه فرمایید. حتما بخاطر داشته باشید که همزمان با دیدن محتوای آموزشی، از جزوه هم استفاده کامل را ببرید.
از اینکه با نوشتن نظرات سازنده تون ما را همراهی می کنید، سپاسگزارم.
موفق باشید.

