سیستم ها و معرفی خواص آنها؛ آموزش کال سیگنال ها و سیستم ها؛ فصل اول؛ جلسه 21
- مهندسی برق, سیگنال ها و سیستم
- نرگس دارابی
- 2 دقیقه
درود و عرض ادب خدمت دوستان عزیزم؛ امیدوارم حال دلتون عالی باشه و امشب که شب یلدا هم هست، خونه دلتون توی سرمای زمستان هم گرم و پر مهر باشد. امروز قصد داریم در ادمه مباحث سیستم ها، به معرفی خواص انها بپردازیم. تا انتها با ما همراه باشید.
خواص سیستم ها
1- سیستم های حافظه دار وبدون حافظه:
سیستم هایی بدون حافظه هستند که خروجی آن در هر لحظه تنها به ورودی در همان لحظه وابسته باشند. مثلا سیستمهای زیر بدون حافظه هستند.
![]()
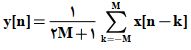
ولی این سیستم حافظه دار است (که دلیلشو تو ویدیو گفتم): 
مثال) سیستمهای زیر را از لحاظ حافظه دار بودن یا بی حافظه بودن بررسی کنید:

2- سیستم علی یا سببی یا کازال:
سیستم علی است که خروجی آن در هر لحظه تنها به ورودی در زمان های گذشته و حال وابسته باشد. در واقع سیستم علی است که خروجی آن در هر لحظه به زمان های آینده بستگی نداشته باشد. بنابراین یک سیستم علی، سیستمی بدون پیش بینی است.
مثال) کدام یک از سیستمهای زیر علّی است؟

ین نکته مهم را حتما به خاطر داشته باشید:
اگر سیستمی بدون حاظه باشد، حتما علّی است ولی اگر سیستمی غیرعلّی باشد، حافظه دار است.
مثال) کدام یک از سیستمهای زیر علّی است؟
![]()
این جلسه را هم در همین حد به پایان میبریم. حتما جزوه این جلسه که مربوط به خواص سیستم ها هست را تهیه کنید و با مطالب درج شده در آن پیش برید.
جلسات بعدی همین مباحث را ادامه خواهیم داد.
موفق و پیروز باشید.

