استفاده از تبدیلهای فوریه در معادله گرما در حل مشتقات جزئی؛ ریاضیات مهندسی؛ جلسه 22
- ریاضیات مهندسی
- نرگس دارابی
- 1 دقیقه
سلام و عرض ادب خدمت دوستان عزیزم؛ امیدوارم حال دلتون عالی باشه. امروز و در این جلسه قصد داریم به مبحث استفاده از تبدیل های فوریه در معادله گرما پردازیم. تا انتها ما را همراهی کنید.
تبدیلهای فوریه ابزارهای قدرتمندی در حل مسائل ریاضی و فیزیکی هستند که به ویژه در تحلیل معادلات دیفرانسیل نقش مهمی ایفا میکنند. یکی از کاربردهای مهم این تبدیلها، استفاده در معادله گرما است که مدلساز توزیع دما در اجسام مختلف میباشد. در این مطلب، با نحوه بهکارگیری تبدیلهای فوریه برای حل معادله گرما و سادهسازی مسائل پیچیده حرارتی آشنا میشویم.
استفاده از تبدیلهای فوریه در معادله گرما
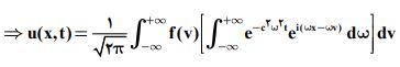
طول میله بی نهایت و دمای اولیه هم برابر (f(x است.

با فرض اینکه (uˆ = F(u از طرفین معادله گرما تبدیل فوریه می گیریم:
![]()
![]()
![]()
![]()

یک یادآوری مهم هم داشته باشیم: ![]()
بنابراین داریم:

دوستان عزیزم جلسه امروز را در این حد جمع بندی می کنیم. بریا دیدن توضیحات بیشتر این جلسه همراه با نکات کلیدی حتما به لینک ویدئوی آموزشی در وبسایت ما مراجعه کنید. برای گرفتن نتیجه عالی حتما از جزوه این جلسه هم استفاده کنید. برای تهیه جزوه براحتی می توانید به این آدرس مراجعه کنید.
طبق معمول همیشه، بودن شما در کنار ما دلگرمی و مایه ادامه فعالیت ماست.
موفق باشید.

