شروع کمپین ویژه امتحانات پایان ترم

| تا 40% تخفیف استثنایی

فصل اول سیگنال ها و سیستم ها؛ جلسه 7؛ بررسی انواع سیگنال مهم زمان

فصل اول سیگنال ها و سیستم ها؛ جلسه 7؛ بررسی انواع سیگنال مهم زمان

خواندن این مطلب

1 دقیقه

زمان میبرد!

فصل اول سیگنال ها و سیستم ها؛ جلسه 7؛ بررسی انواع سیگنال مهم زمان

عرض اجترام و درود خدمت شما دوستان عزیزم؛ امیدوارم با اشتیاق سابق مطالب آموزشی ما را دنبال کنید. بدون معطلی بریم سراغ آموزش امروز. امروز قصد داریم به بررسی انواع سیگنال مهم زمان بپردازیم. تا انتها با ما همراه باشید.

بررسی انواع سیگنال مهم زمان

تابع شیب واحد:

فصل اول سیگنال ها و سیستم ها؛ جلسه 7؛ بررسی انواع سیگنال مهم زمان

یک مثال با هم ببینیم:

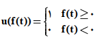
در حالت کلی تابع پله واحد به قرار زیر است:

همچنین روابط زیر را داریم:

خواص تابع ضربه:

اگر تابع در t = t پیوسته باشد داریم:

و اما چند خاصت مهم دیگر:

که در آن ti ریشه های حقیقی ساده به ازای h(t) = 0 هستند. مثلا برای ریشه های t1 , t2 داریم:

یک مثال هم ببینیم و تمام:

مثال) اگر (t) δ تابع ضربه واحد باشد و x = 8t – t2 در نظر گرفته شود، حاصل انتگرال زیر چقدر است؟

حل این مثال، تمرین شما باشه. بعد از حل کردن، بیایید به جلسه هفتم این فصل از کانال یوتیوب و با هم انواع سیگنال مهم زمان را چک کنیم. جزوه سیگنال ها و سیستم ها هم براحتی براتون قابل تهیه است.

امیدوارم از این جلسه هم استفاده لازم رو برده باشید.

تا جلسه بعدی موفق و پیروز باشید.

درباره نویسنــده
نویسنده
نرگس دارابی
نظرات کاربـــران
فاقد دیدگاه
دیدگاهی برای این مطلب ثبت نشده است. اولین دیدگاه را شما بنویسید.
ثبت دیدگاه