آمورش محاسبات عددی؛ حداقل مربعات؛ فصل 8
- محاسبات عددی و جبر خطی
- نرگس دارابی
- 2 دقیقه
سلام و عرض ادب خدمت دوستان عزیزم؛ امیدوارم حال دلتون عالی باشه و امروز قوی تر از دیروز در مسیر رسیدن به خواسته هاتون قدم بردارید. امروز قصد داریم به بررسی فصل جدیدی از محاسبات عددی یعنی فصل هشتم بپردازیم: حداقل مربعات. بریم با یک مقدمه کوتاه آموزش امروز رو ببینیم. لطف تا انتها همراه ما باشید.
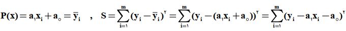
خط حداقل مربعات
در بسیاری از مسائل علمی و آماری، نیاز داریم تا رابطهای بین دو مجموعه داده را به بهترین شکل ممکن مدلسازی کنیم. خط حداقل مربعات یکی از ابزارهای اصلی در تحلیل دادههاست که با یافتن خطی که کمترین فاصلهی مجموع مربعات نقاط داده تا خود خط را دارد، بهترین تقریب ممکن را ارائه میدهد. این روش ساده اما قدرتمند، در پیشبینی، رگرسیون خطی و تحلیل روندها کاربرد گستردهای دارد و پایهای برای بسیاری از مدلهای آماری پیشرفتهتر به شمار میرود.

که در آن m تعداد کل داده ها و yi ها مقادیر داده شده می باشد.
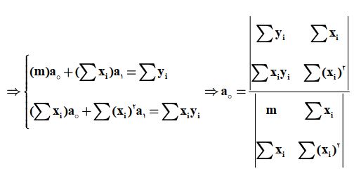
شرط لازم برای دارا بودن اکسترمم در یک نقطه اینست که هرگاه f(x,y ) در نقطه (a,b)د ارای یک می نیمم یا ماکزیمم باشد، در این صورت لازم است داشته باشیم:




توی این جلسه فقط سعی کردیم شرایط لازم رو با هم بررسی کنیم و در جلسات بعدی با ذکر مثال به بیان این موضوع خواهیم پرداخت. برای درک کامل مفاهیمی که توی این جلسه به روایت تصویر براتون آوردم، حتما به جزوه این فصل مراجعه کنید که براحتی از این لینک قابل تهیه هست. توی آموزش مفاهیم از طریق ویدئو هم سعی کردم براتون با جزئیات کامل این مفاهیم را شرح بدم. برای دیدن ویدئوی این جلسه می توانید به این لینک در کانال یوتیوب ما مراجعه فرمایید.
حضور و همراهی شما تا اینجای کار باعث دلگرمی ما بوده است و همچنان منتظر تداوم حضورتان هستیم.
موفق باشید.

