آموزش تابع؛ ریاضی 1؛ توابع یک به یک با مهندس زوارقی
- ریاضی عمومی 1
- نرگس دارابی
- 2 دقیقه
سلام به شما دوستان عزیزم امیدوارم حال دلتون عالی باشه. رسیدیم به مبحث توابع یک به یک. اگر با من همراه بوده باشید میدونید که این سری از مباحث در سئوالات کنکور مهم اند. پس توی یادگیری این مفاهیم دل به آموزش ها بدید.
قبل از همه خواستم از پیام های پر مهر شما تشکر کنم نمونه ای از این پیام ها را براتون میذارم:
همیشه فکر میکردم مبحث تابع یک به یک پیچیده و گیجکننده است، اما وقتی با ویدئوهای آموزشی و جزوات مهندس زوارقی پیش رفتم، دیدگاهم کاملاً تغییر کرد! توضیحات دقیق و مثالهای سادهشده، یادگیری رو برام لذتبخش کرد. جزوات هم یه همراه عالی بودن که باعث شدن نکات کلیدی همیشه جلو چشمم باشه.
حالا دیگه نهتنها این مبحث رو بهخوبی یاد گرفتم، بلکه میتونم به بقیه هم توضیح بدم! اگه شما هم میخواید یه یادگیری بدون استرس و مفهومی رو تجربه کنید، این آموزشها رو از دست ندید.
خوندن این پیام ها اونقدر بهم انگیزه میده که میتونم تا ساعتها بدون خستگی براتون محتوای آموزشی تولید کنم.
خب اگر مثل همیشه آماه اید بریم سرغ آموزش این جلسه.
تعریف توابع یک به یک بصورت زیر هست:
تابع f :A →B یک به یک است، اگر و تنها اگر به ازای هر x1, x2 متعلق به A اگر f (x1) = f (x2) آنگاه x1 = x2
اینم چند قضیه واسه یک به یک بودن توابع:
1. تابع اکیدا یکنوا ( اکیدا صعودی یا نزولی) یک به یک است.
2. اگر f تابع اکیدا یکنوا باشد آنگاه g(x) = (x) + [f(x)] یک به یک است. مثلا y = x3 + [x3]. البته عکس قضیه فوق همواره درست نیست. یعنی امکان دارد تابعی یک به یک باشد ولی یکنوا نباشد.

3. اگر 𝑓 تابعی پیوسته و یک به یک باشد، آنگاه اکیدا یکنواست.
4. شرط لازم وکافی برای اینکه تابعی یک به یک باشد، آنست که هر خط موازی محور x ها نمودار آن را حداکثر در یک نقطه قطع کند.
5. هیچ تابع متناوب یک به یک نمی باشد.
6. اگر f ,g دو تابع یک به یک باشند، آنگاه fog, gof نیز هر دو یک به یک اند.
دوستان عزیزم تا به اینجا با مفهوم تابع یک به یک آشنا شدید. در ادامه می خواهم یک نمونه از تستهای این بحث رو براتون مطرح کنم. اما برای دیدن تمرینات بیشتر حتما کانال یوتیوب و آموزش های ویدئویی رو توی این لینک ببینید. جزوه این جلسه رو هم از این آدرس توی فروشگاه وبسایت تهیه کنید.
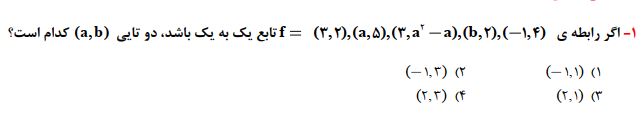
مثال:

رسیدیم به انتهای این جلسه. امیدوارم بحث تابع رو کامل با فیلم آموزشی کانال یوتیوب ما همراه باشید که کلی نکته رو اونجا بهتون اموزش دادم.
یادتون نره که توی کامنتهای این پست هم نظرات تون رو ثبت کنید.
در آموزشهای بعدی هم همراه ما باشید.
موفق باشید🍀

